№ 2.51
Задание:
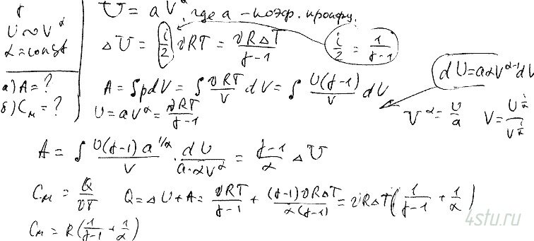
Идеальный газ с показателем адиабаты γ совершает процесс, при котором его внутренняя энергия зависит от объема по закону U = aVα, где a и α — постоянные. Найти: а) работу, которую произведет газ, и тепло, которое надо сообщить ему, чтобы внутренняя энергия испытала приращение ΔU; б) молярную теплоемкость газа в этом процессе.
Решение:
