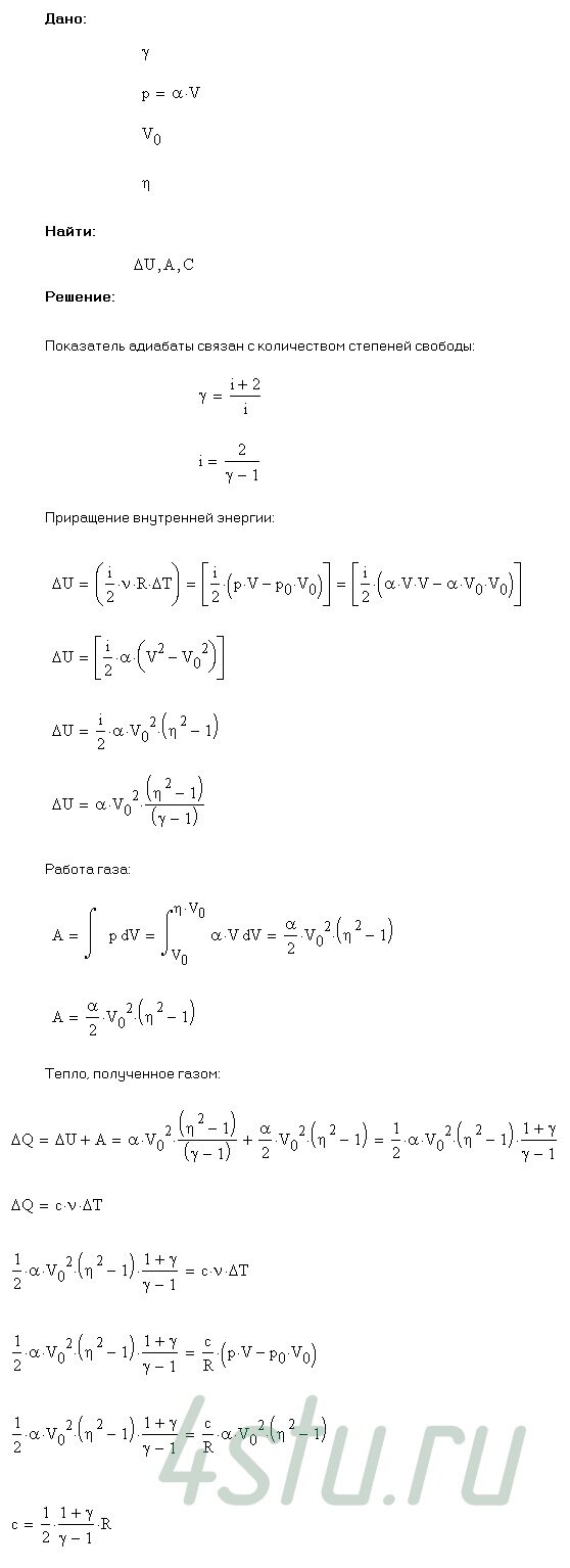
№ 2.48
Задание:
Идеальный газ с показателем адиабаты γ расширили по закону p = αV, где α — постоянная. Первоначальный объем газа V0. В результате расширения объем увеличился в η раз. Найти: а) приращение внутренней энергии газа; б) работу, совершенную газом; в) молярную теплоемкость газа в этом процессе.
Решение:
