№ 2.44
Задание:
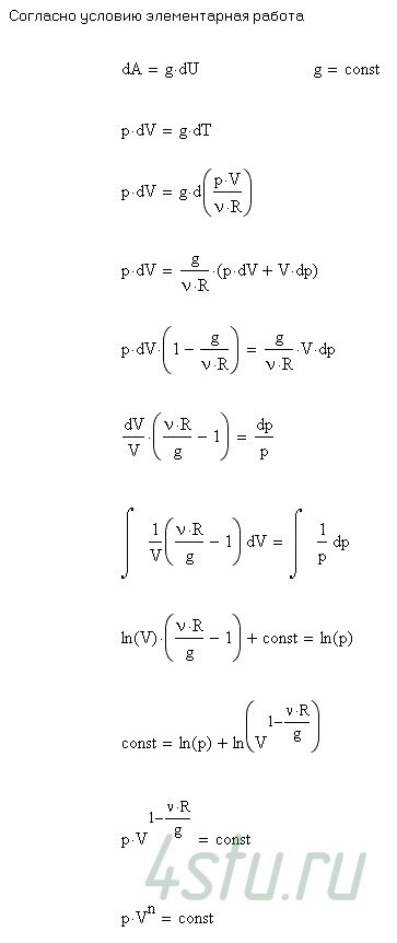
Показать, что процесс, при котором работа идеального газа пропорциональна соответствующему приращению его внутренней энергии, описывается уравнением pVn = const, где n — постоянная.
Решение:

Показать, что процесс, при котором работа идеального газа пропорциональна соответствующему приращению его внутренней энергии, описывается уравнением pVn = const, где n — постоянная.