№ 2.40
Задание:
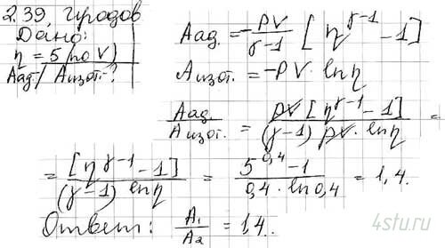
Некоторую массу азота сжали в η = 5,0 раза (по объему) один раз адиабатически, другой раз изотермически. Начальное состояние газа в обоих случаях одинаково. Найти отношение соответствующих работ, затраченных на сжатие.
Решение:

Некоторую массу азота сжали в η = 5,0 раза (по объему) один раз адиабатически, другой раз изотермически. Начальное состояние газа в обоих случаях одинаково. Найти отношение соответствующих работ, затраченных на сжатие.