№ 2.39
Задание:
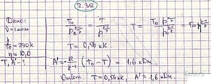
Один моль кислорода, находившегося при температуре Т0 = 290 К, адиабатически сжали так, что его давление возросло в η = 10,0 раза. Найти: а) температуру газа после сжатия; б) работу, которая была совершена над газом.
Решение:

Один моль кислорода, находившегося при температуре Т0 = 290 К, адиабатически сжали так, что его давление возросло в η = 10,0 раза. Найти: а) температуру газа после сжатия; б) работу, которая была совершена над газом.