№ 2.37
Задание:
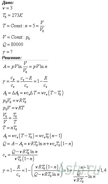
Три моля идеального газа, находившегося при температуре Т0 = 273 К, изотермически расширили в n = 5,0 раза и затем изохорически нагрели так, что в конечном состоянии его давление стало равным первоначальному. За весь процесс газу сообщили количество тепла Q = 80 кДж. Найти величину γ = Cp/CV для этого газа.
Решение:
