№ 2.33
Задание:
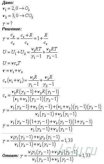
Вычислить величину γ = Cp/CV для газовой смеси, состоящей из ν1 = 2,0 моля кислорода и ν2 = 3,0 моля углекислого газа. Газы считать идеальными.
Решение:

Вычислить величину γ = Cp/CV для газовой смеси, состоящей из ν1 = 2,0 моля кислорода и ν2 = 3,0 моля углекислого газа. Газы считать идеальными.