№ 2.32
Задание:
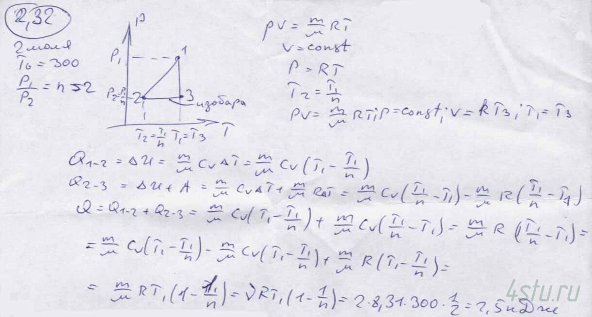
Два моля идеального газа при температуре Т0 = 300 К охладили изохорически, вследствие чего его давление уменьшилось в n = 2,0 раза. Затем газ изобарически расширили так, что в конечном состоянии его температура стала равной первоначальной. Найти количество тепла, поглощенного газом в данном процессе.
Решение:
