№ 2.3
Задание:
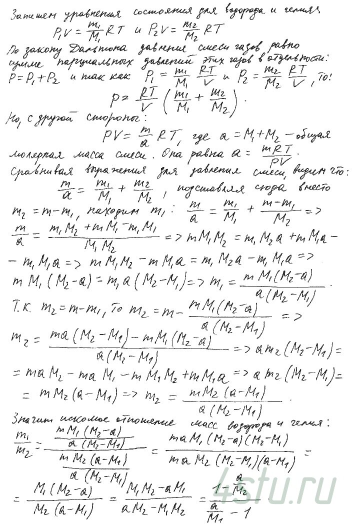
Сосуд объемом V = 20 л содержит смесь водорода и гелия при температуре t = 20 °С и давлении р = 2,0 атм. Масса смеси m = 5,0 г. Найти отношение массы водорода к массе гелия в данной смеси.
Решение:

Сосуд объемом V = 20 л содержит смесь водорода и гелия при температуре t = 20 °С и давлении р = 2,0 атм. Масса смеси m = 5,0 г. Найти отношение массы водорода к массе гелия в данной смеси.