№ 2.28
Задание:
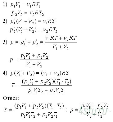
Два теплоизолированных баллона 1 и 2 наполнены воздухом и соединены короткой трубкой с краном. Известны объемы баллонов, а также давление и температура воздуха в них (V1, p1, T1 и V2, p2, T2). Найти температуру и давление воздуха, которые установятся после открытия крана.
Решение:
