№ 2.247
Задание:
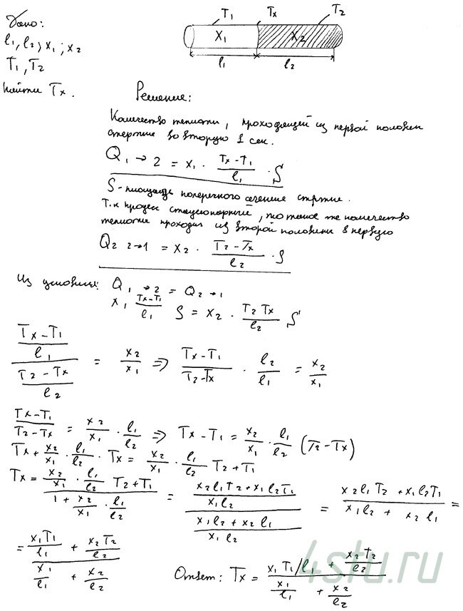
Один конец стержня, заключенного в теплоизолирующую оболочку, поддерживается при температуре T1, а другой конец — при температуре T2. Сам стержень состоит из двух частей, длины которых l1, и l2, и коэффициенты теплопроводности χ1 и χ2. Найти температуру поверхности соприкосновения этих частей стержня.
Решение:
