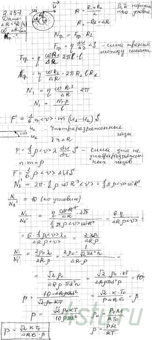
№ 2.242
Задание:
Гелий при нормальных условиях заполняет пространство между двумя длинными коаксиальными цилиндрами. Средний радиус цилиндров R, зазор между ними ΔR, причем ΔR << R. Внутренний цилиндр неподвижен, а внешний вращают с достаточно небольшой угловой скоростью ω. Найти момент сил трения, действующих на единицу длины внутреннего цилиндра. До какого значения надо уменьшить давление гелия (не меняя температуры), чтобы искомый момент сил трения уменьшился в n = 10 раз, если ΔR = 6 мм?
Решение:
