№ 2.21
Задание:
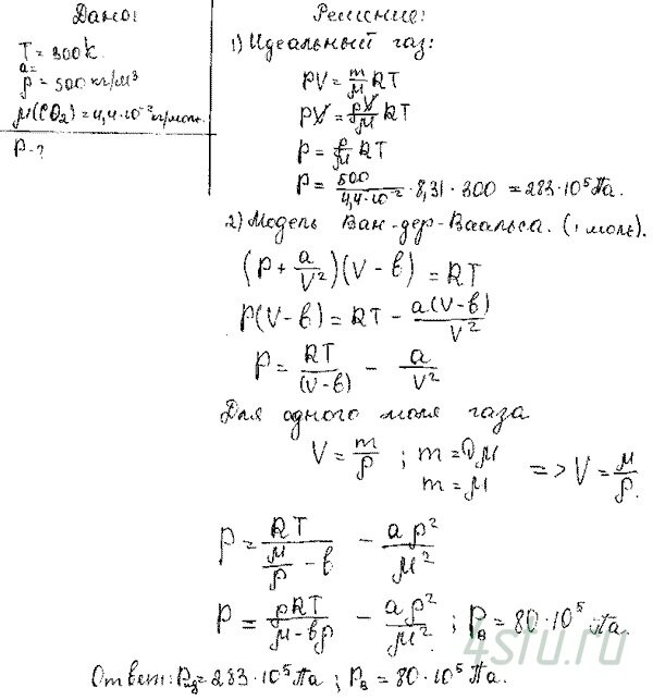
Какому давлению необходимо подвергнуть углекислый газ при температуре Т = 300 К, чтобы его плотность оказалась равной ρ = 500 г/л? Расчет провести как для идеального газа, так и для ван-дер-ваальсовского.
Решение:

Какому давлению необходимо подвергнуть углекислый газ при температуре Т = 300 К, чтобы его плотность оказалась равной ρ = 500 г/л? Расчет провести как для идеального газа, так и для ван-дер-ваальсовского.