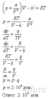
№ 2.196
Задание:
Найти внутреннее давление pi в жидкости, если известны ее плотность ρ и удельная теплота парообразования q. Считать, что теплота q равна работе против сил внутреннего давления и жидкость подчиняется уравнению Ван-дер-Ваальса. Вычислить pi у воды.
Решение:
