№ 2.186
Задание:
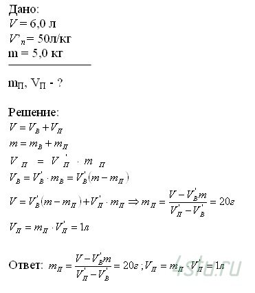
Вода со своим насыщенным паром находится в сосуде объемом V = 6,0 л при температуре 250 °С и давлении 40 атм. Удельный объем пара при этих условиях V'п = 50 л/кг. Масса системы (воды с паром) m = 5,0 кг. Найти массу и объем пара.
Решение:
