№ 2.146
Задание:
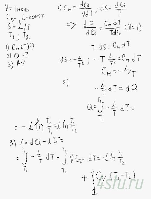
Один моль идеального газа с известным значением теплоемкости CV совершает процесс, при котором его энтропия S зависит от температуры Т как S = α/T, где α — постоянная. Температура газа изменилась от T1 до T2. Найти: а) молярную теплоемкость газа как функцию его температуры; б) количество тепла, сообщенное газу; в) работу, которую совершил газ.
Решение:
