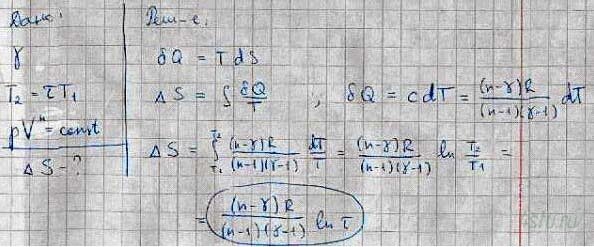
№ 2.136
Задание:
Один моль идеального газа с показателем адиабаты γ совершает политропический процесс, в результате которого абсолютная температура газа увеличивается в τ раз. Показатель политропы n. Найти приращение энтропии газа в данном процессе.
Решение:
