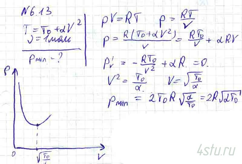
№ 2.12
Задание:
Определить наименьшее возможное давление идеального газа в процессе, происходящем по закону Т = Т0 + αV2, где Т0 и α — положительные постоянные, V — объем одного моля газа. Изобразить примерный график этого процесса в параметрах p, V.
Решение:
