№ 2.115
Задание:
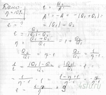
Тепловую машину, работавшую по циклу Карно с к. п. д. η = 10%, используют при тех же тепловых резервуарах как холодильную машину. Найти ее холодильный коэффициент ε.
Решение:

Тепловую машину, работавшую по циклу Карно с к. п. д. η = 10%, используют при тех же тепловых резервуарах как холодильную машину. Найти ее холодильный коэффициент ε.