№ 2.114
Задание:
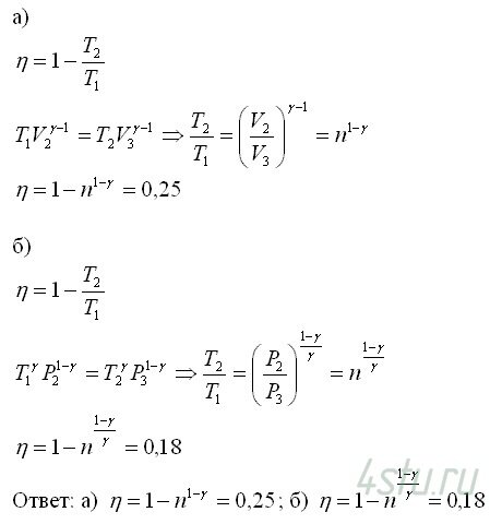
Водород совершает цикл Карно. Найти к. п. д. цикла, если при адиабатическом расширении: а) объем газа увеличивается в n = 2,0 раза; б) давление уменьшается в n = 2,0 раза.
Решение:

Водород совершает цикл Карно. Найти к. п. д. цикла, если при адиабатическом расширении: а) объем газа увеличивается в n = 2,0 раза; б) давление уменьшается в n = 2,0 раза.