№ 2.113
Задание:
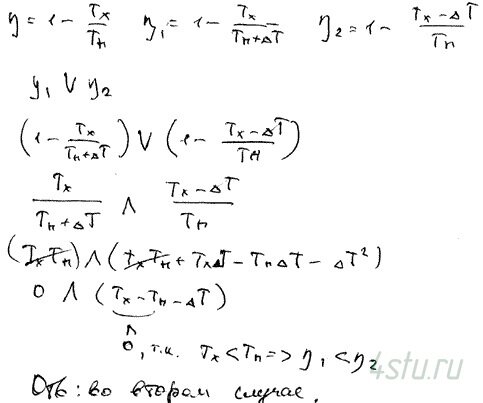
В каком случае к. п. д. цикла Карно повысится больше: при увеличении температуры нагревателя на ΔT или при уменьшении температуры холодильника на такую же величину?
Решение:

В каком случае к. п. д. цикла Карно повысится больше: при увеличении температуры нагревателя на ΔT или при уменьшении температуры холодильника на такую же величину?