№ 2.110
Задание:
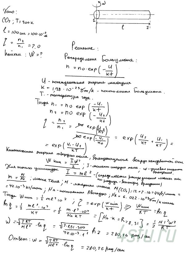
Горизонтально расположенную трубку с закрытыми торцами вращают с постоянной угловой скоростью ω вокруг вертикальной оси, проходящей через один из ее торцов. В трубке находится углекислый газ при температуре Т = 300 К. Длина трубки l = 100 см. Найти значение ω, при котором отношение концентраций молекул у противоположных, торцов трубки η = 2,0.
Решение:
