№ 2.109
Задание:
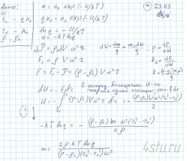
Найти массу моля коллоидных частиц, если при вращении центрифуги с угловой скоростью ω вокруг вертикальной оси концентрация этих частиц на расстоянии r2 от оси вращения в η раз больше, чем на расстоянии r1 (в одной горизонтальной плоскости). Плотности частиц и растворителя равны соответственно ρ и ρ0.
Решение:
