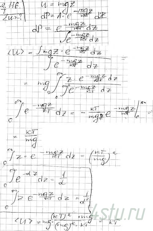
№ 2.107
Задание:
Газ находится в очень высоком цилиндрическом сосуде при температуре Т. Считая поле тяжести однородным, найти среднее значение потенциальной энергии молекул газа. Как зависит эта величина от того, состоит ли газ из одного сорта молекул или из нескольких сортов?
Решение:
