№ 2.104
Задание:
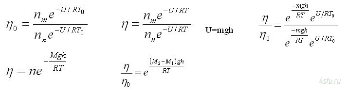
Пусть η0 — отношение концентрации молекул водорода к концентрации молекул азота вблизи поверхности Земли, а η — соответствующее отношение на высоте h = 3000 м. Найти отношение η/η0 при Т = 280 К, полагая, что температура и ускорение свободного падения не зависят от высоты.
Решение:
