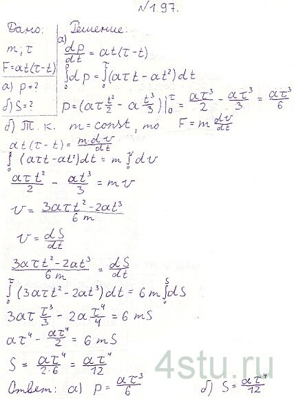
№ 1.97
Задание:
На покоившуюся частицу массы m в момент t = 0 начала действовать сила, меняющаяся со временем по закону F = at (τ — t), где а — постоянный вектор, τ — время, в течение которого действует данная сила. Найти: а) импульс частицы после окончания действия силы; б) путь, пройденный частицей за время действия силы.
Решение:
