№ 1.9


Задание:

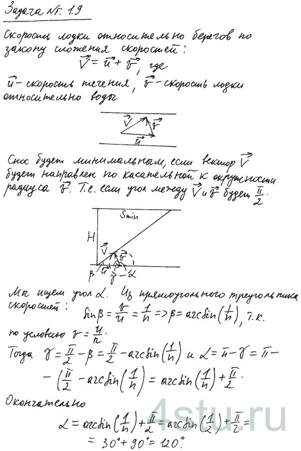
Лодка движется относительно воды со скоростью, в n = 2,0 раза меньшей скорости течения реки. Под каким углом к направлению течения лодка должна держать курс, чтобы ее снесло течением как можно меньше?

Решение:

Решение: № 1.9