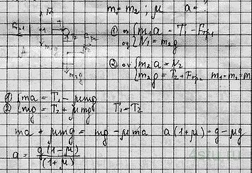
№ 1.79
Задание:
С каким минимальным ускорением следует перемещать в горизонтальном направлении брусок А (рис. 1.22), чтобы тела 1 и 2 не двигались относительно него? Массы тел одинаковы, коэффициент трения между бруском и обоими телами равен k. Массы блока и нитей пренебрежимо малы, трения в блоке нет.
Решение:
