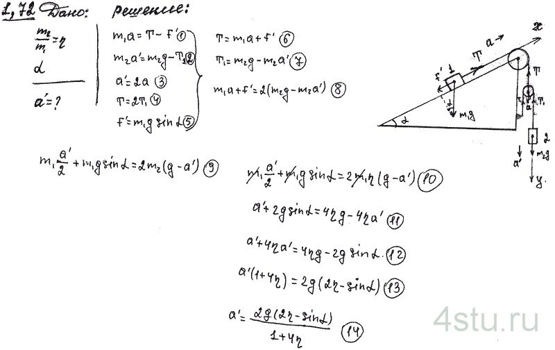
№ 1.72
Задание:
Найти ускорение w тела 2 в системе (рис. 1.15), если его масса в η раз больше массы бруска 1 и угол между наклонной плоскостью и горизонтом равен α. Массы блоков и нитей, а также трение пренебрежимо малы. Исследовать возможные случаи.
Решение:
