№ 1.66
Задание:
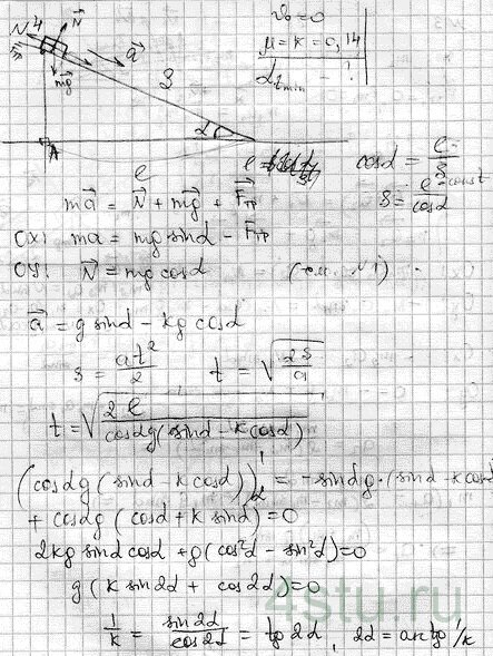
Небольшое тело А начинает скользить с вершины клина, основание которого l = 2,10 м (рис. 1.12). Коэффициенты трения между телом и поверхностью клина k = 0,140. При каком значении угла α время соскальзывания будет наименьшим? Чему оно равно?
Решение:
