№ 1.46
Задание:
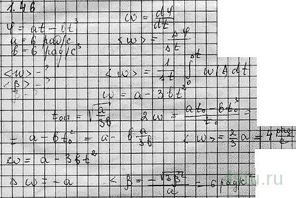
Твердое тело вращается вокруг неподвижной оси по закону φ = at - bt3, где а = 6,0 рад/с, b = 2,0 рад/с3. Найти:
а) средние значения угловой скорости и углового ускорения за промежуток времени от t = 0 до остановки;
б) угловое ускорение в момент остановки тела.
Решение:
