№ 1.45
Задание:
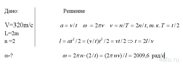
Снаряд вылетел со скоростью v = 320 м/с, сделав внутри ствола n = 2,0 оборота. Длина ствола l = 2,0 м. Считая движение снаряда в стволе равноускоренным, найти его угловую скорость вращения вокруг оси в момент вылета.
Решение:

Снаряд вылетел со скоростью v = 320 м/с, сделав внутри ствола n = 2,0 оборота. Длина ствола l = 2,0 м. Считая движение снаряда в стволе равноускоренным, найти его угловую скорость вращения вокруг оси в момент вылета.