№ 1.40
Задание:
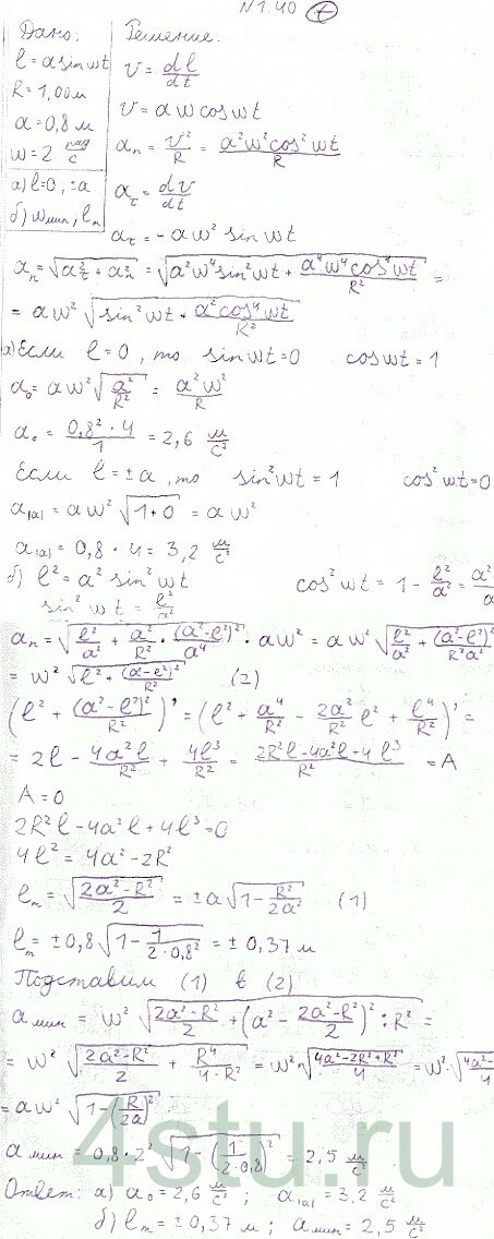
Частица движется по дуге окружности радиуса R по закону l = a sin ωt, где l — смещение из начального положения, отсчитываемое вдоль дуги, a и ω — постоянные. Положив R = 1,00 м, а = 0,80 м и ω = 2,00 рад/с, найти:
а) полное ускорение частицы в точках l = 0 и ±a;
б) минимальное значение полного ускорения wмин и смещение lm, ему соответствующее.
Решение:
