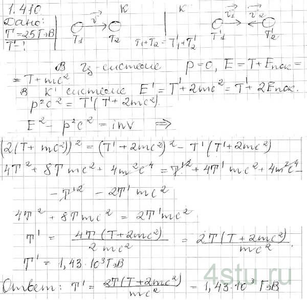
№ 1.386
Задание:
Какова должна быть кинетическая энергия протона, налетающего на другой, покоящийся протон, чтобы их суммарная кинетическая энергия в системе центра инерции была такая же, как у двух протонов, движущихся навстречу друг другу с кинетическими энергиями T = 25,0 ГэВ?
Решение:
