№ 1.385
Задание:
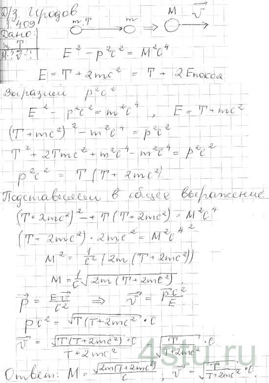
Частица с массой покоя m0 и кинетической энергией T налетает на покоящуюся частицу с той же массой покоя. Найти массу покоя и скорость составной частицы, образовавшейся в результате соударения.
Решение:

Частица с массой покоя m0 и кинетической энергией T налетает на покоящуюся частицу с той же массой покоя. Найти массу покоя и скорость составной частицы, образовавшейся в результате соударения.