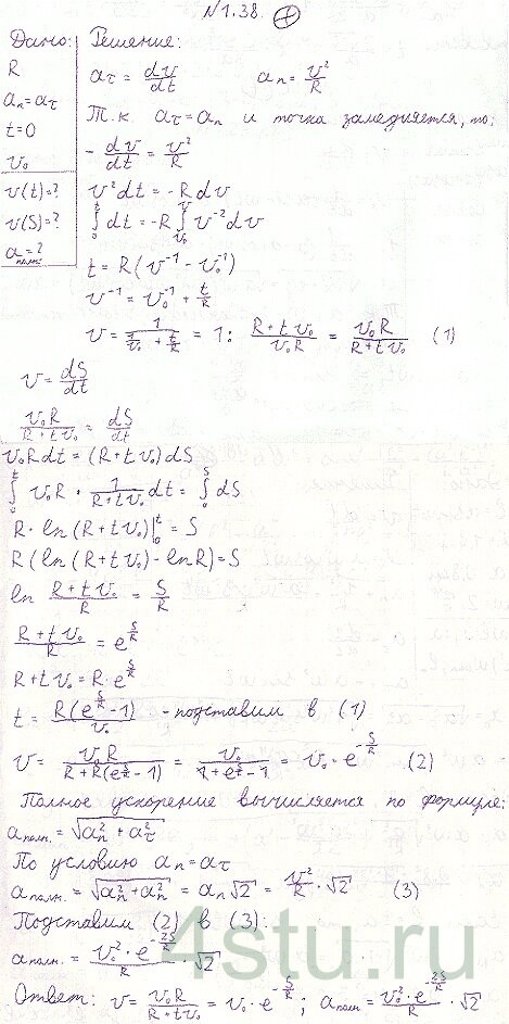
№ 1.38
Задание:
Точка движется, замедляясь, по окружности радиуса R так, что в каждый момент времени ее тангенциальное и нормальное ускорения по модулю равны друг другу. В начальный момент t = 0 скорость точки равна v0. Найти:
а) скорость точки в зависимости от времени и от пройденного пути s;
б) полное ускорение точки в функции скорости и пройденного пути.
Решение:
