№ 1.378
Задание:
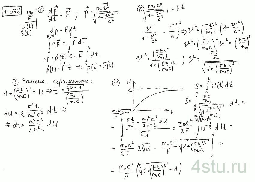
Частица с массой покоя m0 в момент t = 0 начинает двигаться под действием постоянной силы F. Найти зависимость от времени t скорости частицы и пройденного ею пути.
Решение:

Частица с массой покоя m0 в момент t = 0 начинает двигаться под действием постоянной силы F. Найти зависимость от времени t скорости частицы и пройденного ею пути.