№ 1.376
Задание:
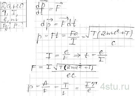
Пучок релятивистских частиц с кинетической энергией T падает на поглощающую мишень. Сила тока в пучке I, заряд и масса покоя каждой частицы e и m0. Найти силу давления пучка на мишень и выделяющуюся в ней мощность.
Решение:

Пучок релятивистских частиц с кинетической энергией T падает на поглощающую мишень. Сила тока в пучке I, заряд и масса покоя каждой частицы e и m0. Найти силу давления пучка на мишень и выделяющуюся в ней мощность.