№ 1.375
Задание:
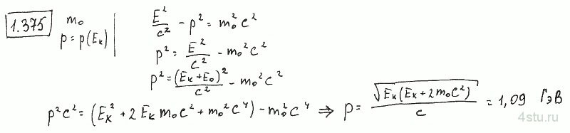
Найти зависимость импульса от кинетической энергии частицы с массой покоя m0. Вычислить импульс протона с кинетической энергией 500 МэВ.
Решение:

Найти зависимость импульса от кинетической энергии частицы с массой покоя m0. Вычислить импульс протона с кинетической энергией 500 МэВ.