№ 1.37
Задание:
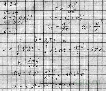
Точка движется по окружности со скоростью v = at, где а = 0,50 м/с2. Найти ее полное ускорение в момент, когда она Пройдет n = 0,10 длины окружности после начала движения.
Решение:

Точка движется по окружности со скоростью v = at, где а = 0,50 м/с2. Найти ее полное ускорение в момент, когда она Пройдет n = 0,10 длины окружности после начала движения.