№ 1.369
Задание:
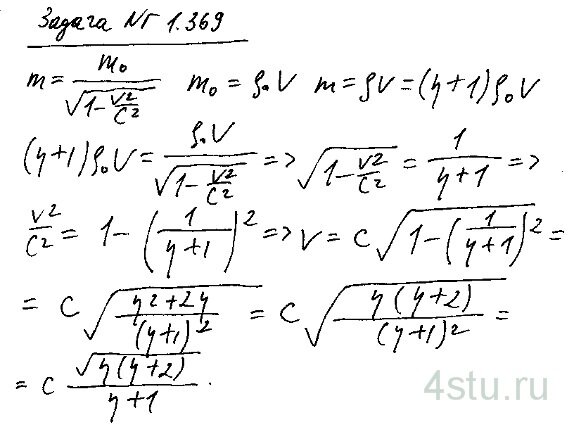
Плотность покоящегося тела равна ρ0. Найти скорость системы отсчета относительно данного тела, в которой его плотность будет на η = 25% больше ρ0.
Решение:

Плотность покоящегося тела равна ρ0. Найти скорость системы отсчета относительно данного тела, в которой его плотность будет на η = 25% больше ρ0.