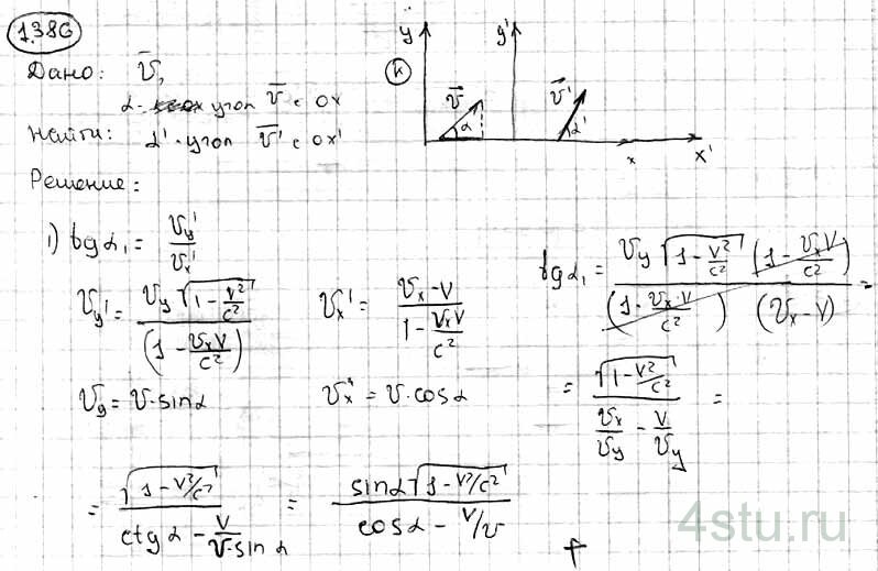
№ 1.363
Задание:
Частица движется в К-системе со скоростью v под углом ϑ к оси x. Найти соответствующий угол в К'-системе, перемещающейся со скоростью V относительно К-системы в положительном направлении ее оси x, если оси x и x' обеих систем совпадают.
Решение:
