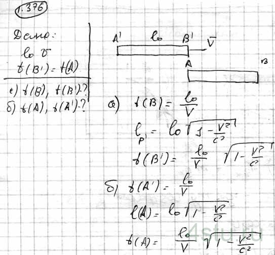
№ 1.353
Задание:
Стержень А'В' движется с постоянной скоростью v относительно стержня АВ (рис. 1.91). Оба стержня имеют одинаковую собственную длину l0 и на концах каждого из них установлены синхронизированные между собой часы: А с В и А' с В'. Пусть момент, когда часы В' поравнялись с часами А, взят за начало отсчета времени в системах отсчета, связанных с каждым из стержней. Определить: а) показания часов В и В' в момент, когда они окажутся напротив друг друга; б) то же для часов А и А'.
Решение:
