№ 1.347
Задание:
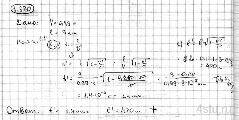
В К-системе отсчета мю-мезон, движущийся со скоростью v = 0,990 c, пролетел от места своего рождения до точки распада расстояние l = 3,0 км. Определить: а) собственное время жизни этого мезона; б) расстояние, которое пролетел мезон в К-системе с "его точки зрения".
Решение:
