№ 1.344
Задание:
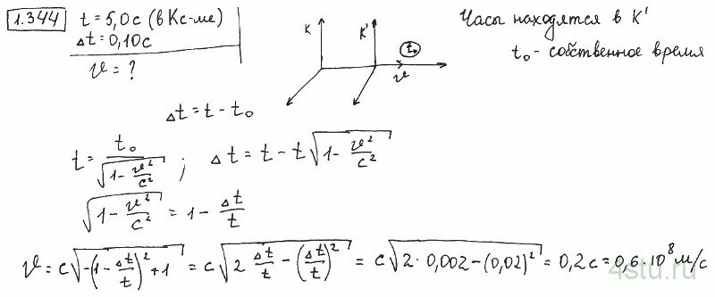
С какой скоростью двигались в K-системе отсчета часы, если за время t = 5,0 с (в K-системе) они отстали от часов этой системы на Δt = 0,10 с?
Решение:

С какой скоростью двигались в K-системе отсчета часы, если за время t = 5,0 с (в K-системе) они отстали от часов этой системы на Δt = 0,10 с?