№ 1.340
Задание:
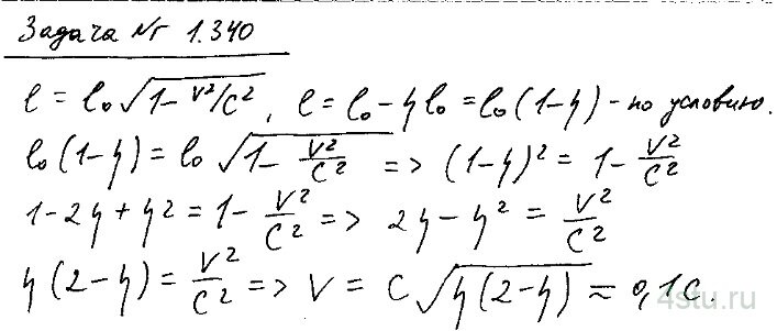
Стержень движется в продольном направлении с постоянной скоростью v относительно инерциальной K-системы отсчета. При каком значении v длина стержня в этой системе отсчета будет на η = 0,5% меньше его собственной длины?
Решение:

Стержень движется в продольном направлении с постоянной скоростью v относительно инерциальной K-системы отсчета. При каком значении v длина стержня в этой системе отсчета будет на η = 0,5% меньше его собственной длины?