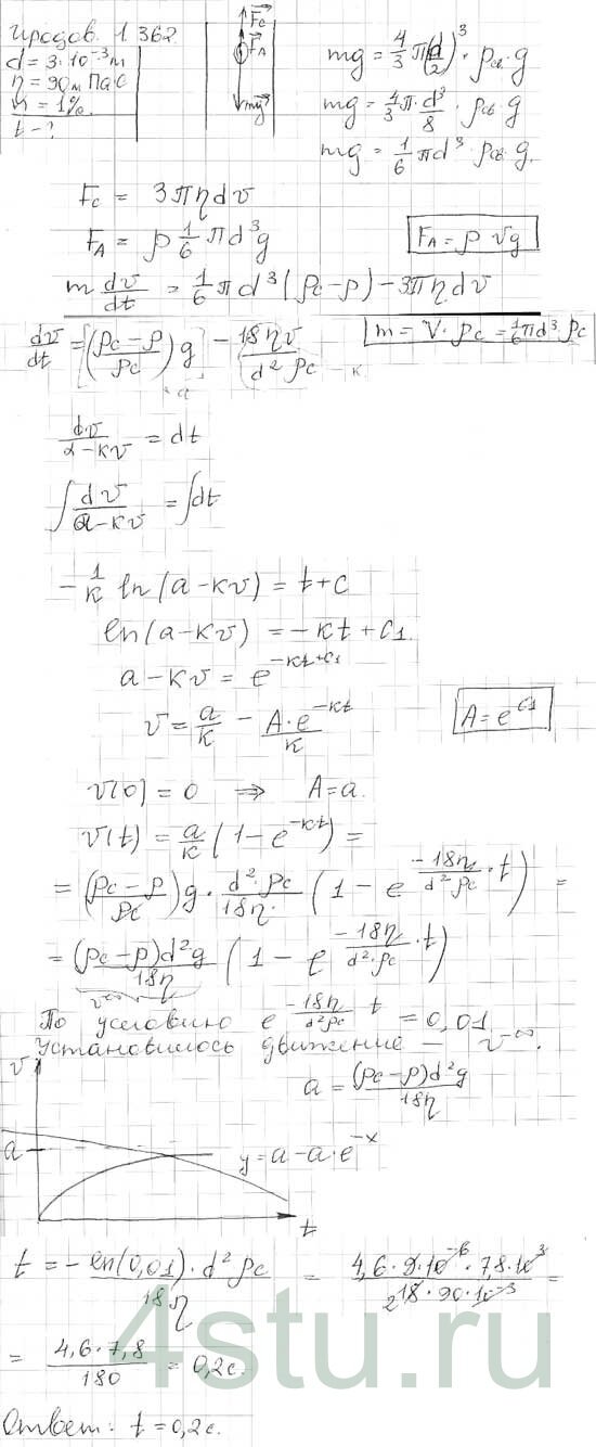
№ 1.339
Задание:
Стальной шарик диаметра d = 3,0 мм опускается с нулевой начальной скоростью в прованском масле, вязкость которого η = 0,90 П. Через сколько времени после начала движения скорость шарика будет отличаться от установившегося значения на n = 1,0%?
Решение:
