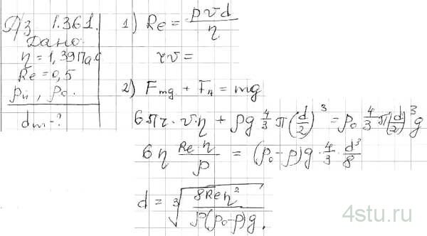
№ 1.338
Задание:
Свинцовый шарик равномерно опускается в глицерине, вязкость которого η = 13,9 П. При каком наибольшем диаметре шарика его обтекание еще остается ламинарным? Известно, что переход к турбулентному обтеканию соответствует числу Re = 0,5 (это значение числа Re, при котором за характерный размер взят диаметр шарика).
Решение:
