№ 1.33
Задание:
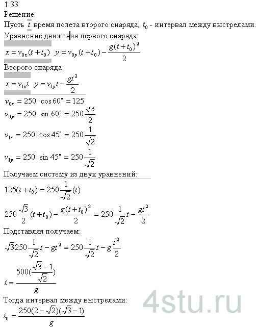
Из пушки выпустили последовательно два снаряда со скоростью v0 = 250 м/с: первый — под углом ϑ1 = 60° к горизонту, второй — под углом ϑ2 = 45° (азимут один и тот же). Пренебрегая сопротивлением воздуха, найти интервал времени между выстрелами, при котором снаряды столкнутся друг с другом.
Решение:
