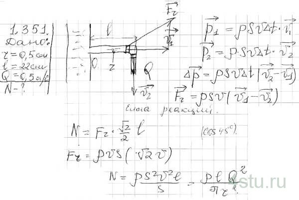
№ 1.328
Задание:
Вода вытекает из большого бака по изогнутой под прямым углом трубке, внутренний радиус которой r = 0,50 см (рис. 1.87). Длина горизонтальной части трубки l = 22 см. Расход воды Q = 0,50 л/с. Найти момент сил реакции воды на стенки этой трубки относительно точки О, обусловленный течением воды.
Решение:
